首页
>
大学数学(06227)
> 题目详情
分类: 大学数学(06227)
发布时间: 2024-09-08 05:19
浏览量: 2
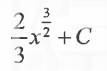
A、
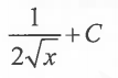
B、
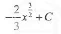
C、
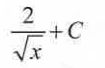
D、
【正确答案】:D
← 返回分类
返回首页 →
相关题目
下列周期函数中,周期为6π的函数是
下列极限值等于1的是
下列求函数的导数计算正确的是
若函数f(x)在某区间内一阶导数和二阶导数都大于零,则f(x)在此区间内
↑