首页
>
造价管理
> 题目详情
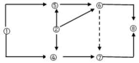
<p>其工程双代号网络图如下图所示,存在的绘制错误是( )。<br><img title="" alt="" src="http
分类: 造价管理
发布时间: 2023-11-02 22:09
浏览量: 0
其工程双代号网络图如下图所示,存在的绘制错误是( )。
A.多个起点节点
B.多个终点节点
C.节点编号有误
D.存在循环回路
正确答案是A
← 返回分类
返回首页 →
相关题目
发达国家对私人投资项目的造价管理体现为( )。
二级造价工程师的工作内容是( )。
某公司发行普通股正常市价为75元,估计年增长率为13%,第1年预计发放股利3元,筹资费用率为股票市价的11%,则新发行普通股的成
下列关于建筑工程一切险赔偿处理的说法中,正确的是( )。
依据《合同法》,合同中免责条款无效的情况,不包括( )。
↑