首页
>
财务成本管理
> 题目详情
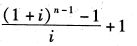
<p>假设银行利率为i,从现在开始每年年末存款1元,n年后的本利和为<img title="" alt="" src="http
分类: 财务成本管理
发布时间: 2023-11-02 22:43
浏览量: 0
假设银行利率为i,从现在开始每年年末存款1元,n年后的本利和为
元。如果改为每年年初存款,存款期数不变,n年后的本利和应为( )元。A.
B.
C.
D.
A.A
B.B
C.C
D.D
正确答案是B
← 返回分类
返回首页 →
相关题目
证券市场组合的期望报酬率是15%,甲投资人以自有资金100万元和按6%的无风险利率借入的资金40万元进行证券投资,甲投资人的期望
某股票的β系数等于2,则该股票( )。
目前资本市场上,纯粹利率为2%,无风险利率为5%,通货膨胀率为3%,违约风险溢价为2%,流动性风险溢价为3%,期限风险溢价为2%
某人打算投资购买商铺,出租牟利。预测了未来5年的(平均)租金(假设预测合理),同时认为50年后的转手价格与现在的买价相同(假设预
甲公司2019年净利润150万元,利息费用100万元,优先股股利37.5万元。企业所得税税率25%。甲公司财务杠杆系数为( )。
↑