首页
>
药学专业知识(一)
> 题目详情
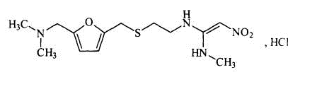
<p>属于呋喃类H<sub>2</sub>受体拮抗剂的药物是( )。<img title="" alt="" src="http
分类: 药学专业知识(一)
发布时间: 2023-11-02 22:46
浏览量: 1
属于呋喃类H
2
受体拮抗剂的药物是( )。
A.西咪替丁
B.法莫替丁
C.奥美拉唑
D.雷尼替丁
E.罗沙替丁
正确答案是D
← 返回分类
返回首页 →
相关题目
下列哪种剂型可以改变药物在体内吸收、分布等方面的特征,并且具有药物靶向性。( )
以下关于片剂特点的描述,错误的是( )。
将治疗哮喘的氨茶碱片剂改为栓剂的目的是( )。
阿奇霉素分散片处方中羧甲基淀粉钠的作用是( )。
软胶囊剂的崩解时限要求为( )。
↑