<p>对乙酰氨基酚在体内会转化生成乙酰亚胺醌,乙酰亚胺醌会耗竭肝内储存的谷胱甘肽,进而与某些肝脏蛋白的巯基结构形成共价加成物引起

分类: 药学专业知识(一) 发布时间: 2023-11-02 22:46 浏览量: 0

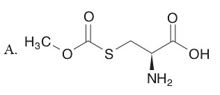
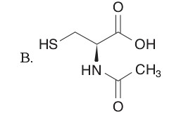
对乙酰氨基酚在体内会转化生成乙酰亚胺醌,乙酰亚胺醌会耗竭肝内储存的谷胱甘肽,进而与某些肝脏蛋白的巯基结构形成共价加成物引起肝毒性。根据下列药物结构判断,可以作为对乙酰氨基酚中毒解救药物的是( )。

A.A

B.B

C.C

D.D

E.E

正确答案是B