首页
>
药学专业知识(一)
> 题目详情
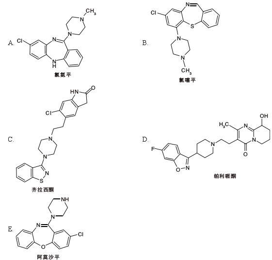
<p>非经典抗精神病药利培酮(<img title="" alt="" width="211" height="194" sty
分类: 药学专业知识(一)
发布时间: 2023-11-02 22:46
浏览量: 0
非经典抗精神病药利培酮(
)的活性代谢产物是( )。
A.氯氮平(图)
B.氯噻平(图)
C.齐拉西酮(图)
D.帕利哌酮(图)
E.阿莫沙平(图)
正确答案是D
← 返回分类
返回首页 →
相关题目
下列哪种剂型可以改变药物在体内吸收、分布等方面的特征,并且具有药物靶向性。( )
以下关于片剂特点的描述,错误的是( )。
将治疗哮喘的氨茶碱片剂改为栓剂的目的是( )。
阿奇霉素分散片处方中羧甲基淀粉钠的作用是( )。
软胶囊剂的崩解时限要求为( )。
↑