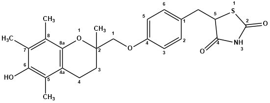
<p>降血糖药物曲格列酮化学结构如下,上市后不久因发生严重的肝脏毒性被停止使用,其原因是( )。<img title="" al

分类: 药学专业知识(一) 发布时间: 2023-11-02 22:46 浏览量: 0

降血糖药物曲格列酮化学结构如下,上市后不久因发生严重的肝脏毒性被停止使用,其原因是( )。

A.曲格列酮被代谢生成乙二醛

B.曲格列酮被代谢生成2-苯基丙烯醛

C.曲格列酮代谢生成次o-次甲基-醌和p-醌

D.曲格列酮被代谢生成酰基葡萄糖醛酸酯

E.曲格列酮被代谢生成亚胺-醌

正确答案是C