首页
>
药学专业知识(一)
> 题目详情
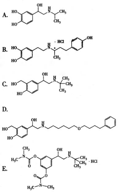
<p>沙美特罗是将沙丁胺醇侧链氮原子上的叔胺用一长链亲脂取代基取代得到的,是长效的β<sub>2</sub>受体激动药类平喘药,
分类: 药学专业知识(一)
发布时间: 2023-11-02 22:46
浏览量: 0
沙美特罗是将沙丁胺醇侧链氮原子上的叔胺用一长链亲脂取代基取代得到的,是长效的β
2
受体激动药类平喘药,该药结构是( )。
A.A
B.B
C.C
D.D
E.E
正确答案是D
← 返回分类
返回首页 →
相关题目
下列哪种剂型可以改变药物在体内吸收、分布等方面的特征,并且具有药物靶向性。( )
以下关于片剂特点的描述,错误的是( )。
将治疗哮喘的氨茶碱片剂改为栓剂的目的是( )。
阿奇霉素分散片处方中羧甲基淀粉钠的作用是( )。
软胶囊剂的崩解时限要求为( )。
↑