首页
>
中药学专业知识(一)
> 题目详情
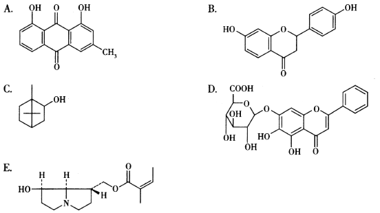
<p>具有发汗、兴奋、镇痛作用,属于萜类化合物的是( )。<img title="" alt="" src="https://l
分类: 中药学专业知识(一)
发布时间: 2023-11-02 22:48
浏览量: 0
具有发汗、兴奋、镇痛作用,属于萜类化合物的是( )。
A.A
B.B
C.C
D.D
E.E
正确答案是C
← 返回分类
返回首页 →
相关题目
按中医五味理论,表示药物有渗湿利水作用的味是( )。
秦七风湿方由秦艽、珠子参、山茱萸等3味中药配伍组成,具有散寒除湿、益气养阴、祛风止痛的功效,临床上常用于治疗类风湿性关节炎,效果
《中国药典》规定,属于山豆根含量测定指标成分之一的是( )。
蓝黑墨水的制造是利用某物质的水溶液与三氯化铁作用呈蓝黑色或绿黑色。该物质是( )。
某种药经现代药理研究发现对动物实验性肝损伤具有保护作用,能降低AST、ALT活性,减轻肝组织损伤,此味中药是( )。
↑