在假设检验中,下面的说法正确的有()

分类: 中级质量专业理论与实务 发布时间: 2023-11-02 23:56 浏览量: 0

在假设检验中,下面的说法正确的有()

A.建立假设时,有原假设H0和备择假设H1

B.已知μ0,可假设H0:μ=μ0 , H1:μ≠μ0 检验样本均值是否为μ0

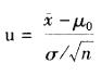
C.

正态总体σ已知时,μ的显著性水平为a的检验采用作为检验统计量

D.假设H0:μ≤μ0 , H1:μ>μ0 ,是双侧假设检验

E.假设H0:μ=μ0 , H1:μ≠μ0 ,是双侧假设检验

正确答案是ABCE