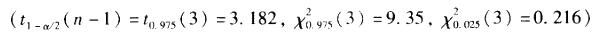
<p>某溶液中的乙醇浓度服从正态分布,从中抽取一个样本量为4的样本,求得<img alt="" src="https://lea

分类: 中级质量专业理论与实务 发布时间: 2023-11-02 23:56 浏览量: 0

某溶液中的乙醇浓度服从正态分布,从中抽取一个样本量为4的样本,求得=8.5,样本标准差为s=0.04,则正态均值μ与σ的95%的置信区间分别为()

A.[8.292,8.550] ; [0.017,0.112]

B.[8.430,8.550];[0.023,0. 112]

C.[8.436,8.564] ; [0.023,0. 149]

D.[8.449,8.564];[0.017,0. 149]

正确答案是C