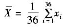
<p>已知Xi(i=1,2,3,…,35,36)是36个来自正态分布N(216,16)的独立随机变量。 设<img alt="

分类: 中级质量专业理论与实务 发布时间: 2023-11-02 23:56 浏览量: 0

已知Xi(i=1,2,3,…,35,36)是36个来自正态分布N(216,16)的独立随机变量。 设,关于的分布可描述为()

A.均值为216,方差为16

B.均值为6,标准差为4

C.均值为6,方差为16

D.均值为216,标准差为2/3

正确答案是D