首页
>
中级质量专业理论与实务
> 题目详情
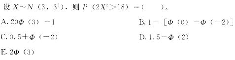
<img alt="" src="https://learnfile.20230611.cn/learnAppQuestion/
分类: 中级质量专业理论与实务
发布时间: 2023-11-02 23:56
浏览量: 1
A.A
B.B
C.C
D.D
E.E
正确答案是BCD
← 返回分类
返回首页 →
相关题目
<p>从一批产品中任意抽取10件,检验其中不合格品的数目,事件A=“不合格品恰为3件”与事件B=“不合格品少于5件”的关系为()
已知P (A)=0.5,p (B)=0.6,P(AlJ B)=0.8,则P(A B)=()
某地区体重超过70公斤的成年男子占全体成年男子的比例是1/3。若在该地区随机访问4位成年男子,他们的体重都低于70公斤的概率是(
某打字员一分钟内打错字的个数X是一个随机变量,服从A=0.5的泊松分布,该打字员一分钟内未打错一个字的概率是()
某种型号的电阻服从均值为1000Ω,标准差为50Ω的正态分布,现随机抽取一个样本量为100的样本,则样本均值的标准差为()
↑