首页
>
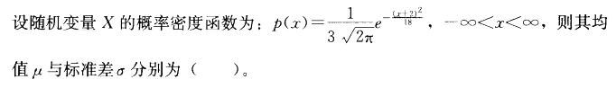
初级质量专业基础理论与实务
> 题目详情
<img alt="" src="https://learnfile.20230611.cn/learnAppQuestion/
分类: 初级质量专业基础理论与实务
发布时间: 2023-11-02 23:57
浏览量: 0
A.A
B.B
C.C
D.D
E.E
正确答案是BC
← 返回分类
返回首页 →
相关题目
概率等式P(A B)=P (A)P (B)成立的条件是()
<p>设随机变量X的分布列为 <img alt="" src="https://learnfile.20230611.cn/l
<p>一批产品的不合格品率为0.07,现从中随机抽取7个,其中恰有一个不合格品的概率为() <img alt="" src="
10个数据的均值X=105.5,现发现其中一个数据有误,错误数据为100.5,正确数据应为103.5。修正后的均值X等于()。
甲、乙两条生产线均生产一种规范阻值为100±5Ω的电阻器,其电阻值X甲与X乙分别服从N(100.1,22)和N(99.9,22)
↑