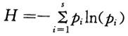
<p>根据《环境影响评价技术导则生态影响》,关于香农-威纳指数公式<img alt="" src="https://learnf

分类: 环境影响评价技术方法 发布时间: 2023-11-03 00:10 浏览量: 2

根据《环境影响评价技术导则生态影响》,关于香农-威纳指数公式下列关于参数的说法正确的有()。

A.H为群落的多样性指数

B.H为种群的多样性指数

C.pi为样品中属于第i种的个体比例

D.s为种数

正确答案是ACD