<p>新建电子元器件厂项目 顺达公司拟在本省某开发区内建设一座电子元器件厂。该省级开发区有集中的污水处理厂和供热系统,其他环保

分类: 环境影响评价案例分析 发布时间: 2023-11-03 00:10 浏览量: 0

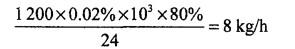
新建电子元器件厂项目 顺达公司拟在本省某开发区内建设一座电子元器件厂。该省级开发区有集中的污水处理厂和供热系统,其他环保基础设施也较完善,目前开发区污水处理厂的设计处理能力为10万m3/d,实际处理能力为6.5万m3/d。污水处理厂接管水质要求为COD350mg/L、NH3-N25mg/L、TP6mg/L,其他水质标准应当满足《污水综合排放标准》(GB8978—1996)表1及表4三级排放标准(氟化物20mg/L、总铜2.0mg/L、总砷0.5mg/L)。 电子元器件生产以硅片为基材,经氨水清洗、氢氟酸或硫酸蚀刻砷化氢掺杂、硫酸铜化学镀等工序得到最终产品。其中掺杂工序和化学镀工序流程如图1所示。 经过工程分析可知,拟建项目在生产过程中产生的清洗废水、蚀刻废水、尾气洗涤塔废水、化学镀废水将经过预处理后进入中和池,中和池出水排入开发区污水处理厂,废水预处理后的情况参见表1。 氨水清洗工序产生的清洗废水中含氨量为0.02%,为降低废水中氨的浓度,拟采取热交换吹脱法除氨,氨的吹脱效率80%,吹脱出的氨经15m高排气筒排放。《恶臭污染物排放标准》(GB14554—93)中规定:15m高排气筒氨排放量限值为4.9kg/h。 【问题】 根据上述背景材料,请回答以下问题: 1.给出掺杂工序和化学镀废水、废气的特征污染因子。 2.根据项目废水预处理方案,判断电子元器件公司废水能否纳入开发区污水处理厂?并说明理由。 3.列出掺杂工序和化学镀废水预处理生产的污泥处置要求。 4.评价本工程热交换吹脱法除氨废气达标情况,给出废气排放的控制措施。

1.给出掺杂工序和化学镀废水、废气的特征污染因子。 答:掺杂工序和化学镀废水的污染特征因子包括:总砷、总铜、氟化物、铵离子等。 掺杂工序和化学镀废气的污染特征因子包括:化学镀酸雾、氨气、砷化氢等。 2.根据项目废水预处理方案,判断电子元器件公司废水能否纳入开发区污水处理厂?并说明理由。 答:电子元器件公司废水不能纳入园区污水处理厂。原因主要有两个: (1)尾气清洗塔废水处理设施排放口(总砷)第一类污染物浓度为1.0 mg/L,而《污水综合排放标准》(GB8978—1996)总砷的标准为0.5mg/L,因此不能满足《污水综合排放标准》(GB8978—1996)中关于第一类污染物排放标准的相关规定,从而不能满足进入开发区污水处理厂的要求。 (2)即使是总砷浓度达到排放标准,因四种水混合的总磷浓度为13.64 mg/L[最终中和池出水中TP浓度=(3600X20)/(1200+3600+120+360)=13.64mg/L],也不满足进入开发区污水处理厂的要求。 3.列出掺杂工序和化学镀废水预处理生产的污泥处置要求。 答:根据拟建项目生产工艺,并参照《国家危险废物名录(2008年本)》可知掺杂工序和化学镀废水预处理产生的污泥属于危险废物:含砷废物(HW24)和含铜废物(HW22)。应该严格按照《危险废物填埋污染控制标准》(GB18598—2001)和《危险废物贮存污染控制标准》(GB18597—2001)的相关规定进行贮存和处置。若产生的量较小且无技术能力处置的,应按上述标准规定建立危险期废物临时贮存设施,定期交由有危险废物处置资质的单位处置,并办理危险废物转移联单。 4.评价本工程热交换吹脱法除氨废气达标情况,给出废气排放的控制措施。 答:由题意可知,清洗废水排放水量为1200t/d,氨的含量为0.02%,氨的吹脱效率为80%,可以计算出氨废气排放速率: 计算结果表明:氨废气排放速率为8kg/h,大于4.9kg/h的限值,说明该治理方案不满足《恶臭污染物排放标准》(GB14554—93)废气达标排放要求。如果要求氨气达标排放,可以提高氨的吹脱效率(例如在吹脱法的基础上增加酸雾吸收工艺)。 【考点分析】 本案例是根据2010年案例分式试题改编而成。这道题目所涉及的考点很多,需要考生综合把握。 1.给出掺杂工序和化学镀废水、废气的特征污染因子。 《环境影响评价案例分析》考试大纲中“四、环境影响识别、预测与评价(1)识别环境影响因素与筛选评价因子”。 本题考点是考查考生对一个行业环境影响识别的能力。考试在遇到此类问题时,要结合行业特点,参考工艺流程图及主要原辅材料分析其特征污染物,特别关注第一类污染物。 2.根据项目废水预处理方案,判断电子元器件公司废水能否纳入开发区污水处理厂?并说明理由。 《环境影响评价案例分析》考试大纲中“六、环境保护措施分析(1)分析污染物达标排放情况;(2)分析污染控制措施及其技术经济可行性”。 判断企业废水能否进入集中污水处理厂应有两方面要求:一是出水水质必须满足接管标准要求且不超过集中污水处理厂的额定污水处理能力;二是不影响集中污水处理厂处理效果。而考试题目中的标准往往不是直接给定的,是需要考生通过计算来确定是否满足标准,这就需要通过准确计算来确定是否能满足要求。 3.列出掺杂工序和化学镀废水预处理生产的污泥处置要求。 《环境影响评价案例分析》考试大纲中“六、环境保护措施分析(1)分析污染物达##放情况;(2)分析污染控制措施及其技术经济可行性”。 这类问题涉及危险废物处置的相关要求。主要考点可能会涉及《危险废物贮存污染控制标准》《危险废物填埋污染控制标准》和《危险废物焚烧污染控制标准》,要求考生会灵活运用。 4.评价本工程热交换吹脱法除氨废气达标情况,给出废气排放旳控制措施。《环境影响评价案例分析》考试大纲中“六、环境保护措施分析(1)分析污染物达标排放情况;(2)分析污染控制措施及其技术经济可行性”。