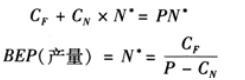
<p>盈亏平衡点分析 当盈亏平衡时,销售收入等于总本收入成本,即 <img alt="" src="https://lear

分类: 设备监理综合实务与案例分析 发布时间: 2023-11-03 00:12 浏览量: 1

盈亏平衡点分析 当盈亏平衡时,销售收入等于总本收入成本,即 某拟建生产企业设计年产3万吨化工原料,造成生产成本1352.18万元,其中固定成本为112.94万元,单位可变成本、销售税金和单位产品增值税之和为413.08元,单位产品售价为579.82元/吨。销售收入和成本费用均采用含税价格表示。