<p>某集团拟在某市投资建设一条自动化生产线,预期年生产能力为300万吨。该生产线可以分解为动力子系统A、控制子系统B和检测子系

分类: 设备监理综合实务与案例分析 发布时间: 2023-11-03 00:13 浏览量: 0

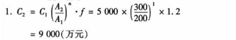
某集团拟在某市投资建设一条自动化生产线,预期年生产能力为300万吨。该生产线可以分解为动力子系统A、控制子系统B和检测子系统C三个子系统。该生产线各子系统的投资估算如表1所示。有关专家对这三个子系统的功能进行了评价,评价结论为:A的功能与B的功能一样重要;A的功能比C的功能重要;B的功能比C的功能重要。 经调查,该市有一条同类型的生产线,前年投产,年生产能力200万吨,总投资为5000万元。设备监理工程师进行设计评审时,列出了该生产系统的各子系统功能评价系数表、价值系数 计算表如表2、表3所示。表1投资估算表表2功能评价系数表 注:功能重要得3分,功能同样重要各得2分,功能次要得1分。表3价值系数计算表 问题: