某工程双代码施工网络计划如图2-2所示,该进度计划已经监理工程师审核批准,合同工期为23个月。

解:工作C和工作G共用一台施工机械且需按先后顺序施工时,有两种可行的方案
1.方案一:按先C后G顺序施工,调整后网络计划如图2-4所示。
按工作计算法,只需计算各工作的最早开始时间和最早完成时间,如图24所示,即可求得计算工期:
T1=max{EF6-8,EF7-8}=max{20,23}=23月,关键路线为1-2-3-4-7-8。
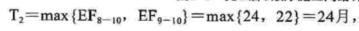
2。方案二:按先G后C顺序施工,调整后网络计划如图25所示。按工作计算法,只需计算各工作的最早开始时间和最早完成时间,见图2-5,即可求得计算工期。

关键线路为1-3-4-5-6-8-10.
通过上述两方案的比较,方案一的工期比方案二的工期短,且满足合同工期的要求。因此,应按先C后G的顺序组织施工较为合理。