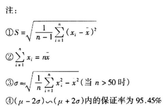
某工厂技改工程需采购大量相同规格型号的钢管,业主委托某设备监理公司进行采购和制造过程的监理。制造合同要求钢管壁厚为10±0.2mm,且产品合格的保证率不低于95.45%。业主要求设备监理工程师对钢管壁厚进行不少于10%的平行抽检。第6批钢管壁厚实测记录见表6.1,前5批抽检结果汇总表见表6.2。(计算均值及标准差均保留4位小数)
表6.1第6批钢管壁厚实测记录
表6.2抽检结果汇总表

问题:
设备采购过程质量监理的任务:(1)审核、确定采购计划;(2)协助雇主优选设备供应商;(3)协助签订好采购合同;(4)进行设备采购合同履行的监理;(5)做好采购质量记录。