首页
>
专业基础知识(水利水电)
> 题目详情
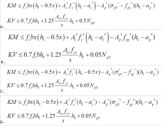
<p>预应力梁正截面、斜截面承载力计算公式() <img alt="" src="https://learnfile.2023
分类: 专业基础知识(水利水电)
发布时间: 2023-11-03 00:16
浏览量: 2
预应力梁正截面、斜截面承载力计算公式()
A.A
B.B
C.C
D.D
正确答案是D
← 返回分类
返回首页 →
相关题目
<img src="https://learnfile.20230611.cn/learnAppQuestion/6f/0c/6
对于一个钢筋混凝土大偏心受压短柱,当作用的弯矩给定时,轴向受压荷载的增加对它的安全状态产生的影响是()。
大地水准面具有的特点是()。
等高线平距是()。
<img alt="" src="https://learnfile.20230611.cn/learnAppQuestion/
↑