首页
>
专业知识(水利水电)
> 题目详情
<img src="https://learnfile.20230611.cn/learnAppQuestion/ae/bf/a
分类: 专业知识(水利水电)
发布时间: 2023-11-03 00:17
浏览量: 1
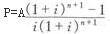
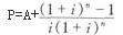
A.
B.P=A+A(P/ A,i,n)
A.
B.P=A(P/
C.i,n)
D.P=A(P/
E.i,n+1)
正确答案是CE
← 返回分类
返回首页 →
相关题目
新《中华人民共和国水法》开始施行的时间为()。
电力事业投资的原则为()。
区域构造稳定性是关系到水利水电工程是否可以进行的根本地质问题,对此作出评价必须在()阶段进行。
岩屑夹泥型软弱夹层黏粒的百分含量为()。
RQD是美国提出来的一种岩石质量指标,是以钻孔的单位长度中的大于()cm的岩芯所占的比例来确定的。
↑