首页
>
电气工程师公共基础(基础考试)
> 题目详情
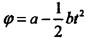
<p>一定轴转动刚体,其转动方程为<img alt="" src="https://learnfile.20230611.cn/
分类: 电气工程师公共基础(基础考试)
发布时间: 2023-11-03 00:20
浏览量: 0
一定轴转动刚体,其转动方程为
,其中a、b均为常数,则知该刚体做()
A.匀加速转动
B.匀减速转动
C.匀速转动
D.无法判断
正确答案是A
← 返回分类
返回首页 →
相关题目
某项目寿命10年,每年净收益400万元,按10%折现率计算恰好能在寿命期内把期初投资全部收回,则该项目期初投入为()万元。
从网址WWW.AB C.COM.CA可以看出它是一个()站点。
在下列的操作系统中,属于多用户操作系统的是()。
当x>0时,下列不等式中正确的是() A.exxC.exsinx
雷诺数物理意义表示()
↑