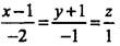
<p>设直线的方程为<img alt="" src="https://learnfile.20230611.cn/learnAp

分类: 电气工程师公共基础(基础考试) 发布时间: 2023-11-03 00:20 浏览量: 4

设直线的方程为,则直线()。

A.过点(1,-1,0),方向向量为2i+j-k

B.过点(1,-1,0),方向向量为2i-j+k

C.过点(-1,1,0),方向向量为-2i-j+k

D.过点(-1,1,0),方向向量为2i+j-k

正确答案是A