首页
>
电气工程师基础专业知识(基础考试)
> 题目详情
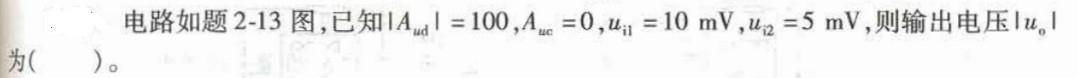
<img alt="" src="https://learnfile.20230611.cn/learnAppQuestion/
分类: 电气工程师基础专业知识(基础考试)
发布时间: 2023-11-03 00:22
浏览量: 0
A.A
B.B
C.C
D.D
正确答案是A
← 返回分类
返回首页 →
相关题目
<img alt="" src="https://learnfile.20230611.cn/learnAppQuestion/
三相感应电动机等值电路中的电阻(上消耗的功率为()。
一台三相6极感应电动机的额定数据为:PN=7.5kW,UN=380V,f=50Hz,cosΦN=0.824,=960r/min,
<img alt="" src="https://learnfile.20230611.cn/learnAppQuestion/
<img alt="" src="https://learnfile.20230611.cn/learnAppQuestion/
↑