首页
>
目标控制(土木建筑)
> 题目详情
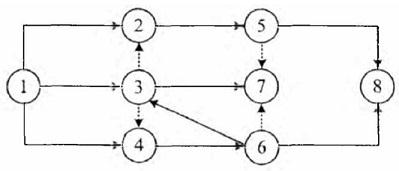
<p>某分部工程双代号网络图如下图所示,图中错误有()。 <img alt="" src="https://learnfile
分类: 目标控制(土木建筑)
发布时间: 2023-11-03 00:32
浏览量: 0
某分部工程双代号网络图如下图所示,图中错误有()。
A.多个终点节点
B.多个起点节点
C.工作代号重复
D.节点编号有误
E.存在循环回路
正确答案是ADE
← 返回分类
返回首页 →
相关题目
根据有关标准,对有抗震设防要求的主体结构,纵向受力钢筋的屈服强度实测值与强度标准值的比例不应大于()
监理单位对制造周期长的设备制造过程,质量控制可采用的方式是()。
根据《建筑工程施工质量验收统一标准》GB50300—2013,涉及安全、节能、环境保护等项目的专项验收要求,应由()组织专家论证
工程施工过程中发生质量事故,项目监理机构应及时签发()。
某进口设备,装运港船上交货价(FO B)为50万美元,到岸价(CI F)为51万美元,关税税率为10%,增值税税率为13%,
↑