某工程包括三个结构形式与建造规模完全一样的单体建筑,施工过程共由五个施工过程组成,分别为:土方开挖、基础施工、地上结构、二次砌筑、装饰装修。根据施工工艺要求,地上结构施工完毕后,需等待2周后才能进行二次砌筑。
该工程采用五个专业工作队组织施工,各施工过程的流水节拍见表

基础施工5、6、7三个月混凝土试块抗压强度统计数据的直方图如图3—1所示。
【问题】
(1)本题目组织的属于何种形式的流水施工,流水施工的组织形式还有哪些?
(2)绘制其流水施工进度计划横道图(每两周为一个单位),计算总工期。
(3)如果要求加合理快工期,应组织何种流水?应需要增加那些专业施工队伍?工期是多少?
(4)针对基础施工,指出5、6、7三个月的直方图分别属于哪种类型,并分别说明其形成原因。
问题 1:事件二的流水施工类型及其他流水施工组织形式:
1)属于无节奏流水施工。
2)等节奏流水施工、异节奏流水施工。
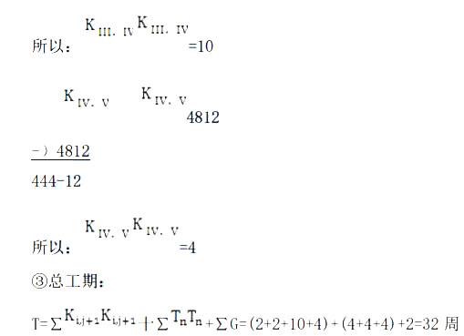
问题 2:根据上表中数据,采用“累加数列错位相减取大差法(简称‘大差法’)”计算流水步距:
①各施工过程流水节拍的累加数列:
施工过程工:246
施工过程Ⅱ:246
施工过程Ⅲ:61218
施工过程Ⅳ:4812
施工过程 V:4812
②错位相减,取最大值得流水步距:

④五个专业队完成施工的流水施工进度计划如图所示。
问题3:
1)应组织加快的成倍流水施工。
2)需增加:地上结构队:2个;二次砌筑队:1个;装饰装修队:1个;
【需要施工队伍计算:取K=2周
土方开挖队:1个;基础施工队:1个;地上结构队:3个;二次砌筑队:2个;装饰装修队:2个】
3)工期:(3+9-1)*2+2=24周
问题4:
(1)5 月份的直方图属于孤岛型。
形成原因:由于原材料发生变化,或者他人顶班作业造成的。
(2)6 月份的直方图属于双峰型。
形成原因:由于用两种不同方法或两台设备或两组工人进行生产,然后把两方面数据混在一起整理产生的。
(3)7 月份的直方图属于绝壁型。
形成原因:由于数据收集不正常,可能有意识地去掉下限以下的数据,或是在检测过程中存在某种人为因素造成的。