首页
>
目标控制(交通工程)
> 题目详情
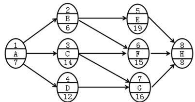
<p>某工程单代号网络计划如下图所示(时间单位:天),下列说法错误的是()。 <img alt="" src="https:/
分类: 目标控制(交通工程)
发布时间: 2023-11-03 00:36
浏览量: 0
某工程单代号网络计划如下图所示(时间单位:天),下列说法错误的是()。
A.工作E是非关键工作
B.工作B的自由时差为0
C.工作D的总时差为2天
D.工作F的最迟开始时间为21天
正确答案是D
← 返回分类
返回首页 →
相关题目
流水施工的基本组织方式包括()。
某分部工程有3个施工过程,分为4个施工段组织流水施工。各施工过程的流水节拍分别为3天、5天、4天、3天,3天、4天、4天、2天和
在工程网络计划中,()是指在不影响总工期的前提下,本工作可以利用的机动时间。
生产经营单位未如实记录安全生产教育和培训情况,逾期未改正的,责令停产停业整顿,对其直接负责的主管人员和其他直接责任人员处罚款妥当
()是指企业的生产组织领导者必须在计划、布置、检查、总结、评比生产工作的同时进行计划、布置、检查、总结、评比安全工作的原则。它要
↑