<p>某泵站工程,发包人和承包人按照《水利水电工程标准施工招标文件(2009年版)》签订了施工承包合同,合同签约价3000万元。

分类: 监理案例分析(水利工程) 发布时间: 2023-11-03 00:38 浏览量: 0

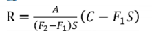
某泵站工程,发包人和承包人按照《水利水电工程标准施工招标文件(2009年版)》签订了施工承包合同,合同签约价3000万元。(计算保留整数) 在合同实施的过程中由于某种原因的影响,发包人和承包人协商解除了合同,合同解除时情况如下: (1)工程预付款的总额为合同价格的10%,开工前由发包人一次性付清;工程预付款按合同条款32.1款中的公式 扣还,其中F1=20%,F2=80%,A为起扣额,C为累计应支付工程款,S为签约合同价。(2)发包人从第一次支付工程进度款起按10%的比例扣保留金,直至保留金总额达到合同价的5%为止。合同执行过程中,由于发包人违约合同解除。合同解除时的情况为:(1)承包人已完成合同清单金额1100万元。(2)承包人已完成一个合同外新增项目100万元。(3)承包人已完成计日工10万元。(4)承包人为工程合理订购的某种材料尚有库存价值50万元。(5)承包人为该工程订购的专用永久工程设备,已经签订了订货合同,合同价为50万元,并已支付合同定金10万元。(6)承包人的进退场费用为62万元。 【问题】1.合同解除时,承包人已得到多少金额? 2.若承包人违约造成合同解除,发包人还应支付承包人多少金额?(不考虑违约后索赔) 3.若发包人违约造成解除合同,发包人还应支付承包人多少金额?(不考虑违约后索赔)

问题1: 截至合同解除时,发包人巳支付金额: 工程预付款:3000×10%=300(万元) 合同清单金额:1100万元 新增项目:100万元 计日工:10万元 发包人已支付:1510万元 已扣除金额: 扣除工程预付款:R=102万元 扣除质量保证金:(1100+100+10)×10%=121(万元) 承包人巳得到金额:发包人已支付金额-已扣除金额=1510-223=1287(万元) 问题2: 若承包人违约,承包人实际完成工程价值:1100+100+10=1210(万元) 发包人已支付:1510万元 发包人已扣除款额:223万元 发包人还应支付金额=承包人实际完成工程价值+已扣除金额-发包人已支付=-77万元 承包人需再退还77万元。 问题3: 若发包人违约,发包人还应支付金额=承包人实际完成工程价值+尚有库存材料价值+设备订购支付定金+承包人进 退场费+已扣除金额-发包人已支付=1210+50+10+62+223-1510=45(万元)