首页
>
工程项目组织与管理
> 题目详情
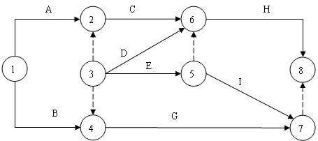
<p>某工程项目分部工程双代号网络计划如下图,图中存在的错误有() <img alt="" src="https://lear
分类: 工程项目组织与管理
发布时间: 2023-11-03 00:41
浏览量: 0
某工程项目分部工程双代号网络计划如下图,图中存在的错误有()
A.有多个起点节点
B.有多个终点节点
C.节点编号有误
D.存在循环回路
E.存在逻辑错误
正确答案是AC
← 返回分类
返回首页 →
相关题目
提出指标性目标属于工程项目周期()阶段的工作内容。
下列关于工程项目管理的客体说法,错误的是()。
永久基本农田转为建设用地的,由()批准。
下列征收集体土地中,属于应由国务院批准征收的有()
在大多数项目中,项目团队的人员吸纳必须通过商谈来解决,以下不属于这种方式的是()。
↑