(2016年真题)甲公司经营A、B、C三项不同业务,为改进业务发展策略,甲公司委托乙咨询公司对其各项业务进行分析。 在对C业务

分类: 现代咨询方法与实务 发布时间: 2023-11-03 00:44 浏览量: 0

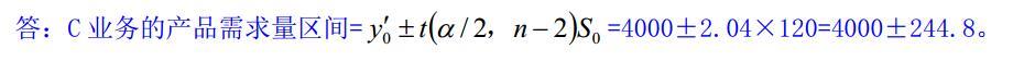
(2016年真题)甲公司经营A、B、C三项不同业务,为改进业务发展策略,甲公司委托乙咨询公司对其各项业务进行分析。 在对C业务进行产品市场预测时,某咨询工程师预测2016年C业务产品市场需求为4000万件,其中检验系数t(a/2,n-2)=2.04,S0=120(a=0.025,n=30)。 【问题】根据市场预测结果,分析2016年C业务的产品需求量区间。