某产品过去5年的销售额与目标市场人均收人的数据见表2-1,预计2006年该产品的目标市场人均收入为1800元。
已知数据:1999~2003历年产品销售额的平方和为6465;1999~2003历年人均收入的平方和为7652500;1999~2003历年人均收入与产品销售额乘积之和为222400。
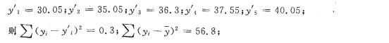
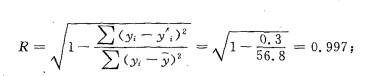
进行相关系数检验。(取D=0.05,R值小数点后保留3位,相关系数临界值见附表)
根据得到的一元线性回归方程,可得:

因为 R=0.997 R 0.03 = 0.878;
因此产品销售额.和人均收入之间的线性关系成立。