某市政府拟建一座污水处理工厂,以提高该市污水处理能力。该市政府委托某咨询机构负责项目的可行性研究工作。该咨询机构提出A、B两个方案,并测算其财务净现金流量,见表4-1。
在项目经济分析中,甲咨询工程师认为该项目费用主要包括项目投资、运营费用、企业所得税、国内利息支出等;经济效益主要包括污水处理收入、环境改善、促进当地就业等。在项目社会评价中,乙咨询工程师认为该污水处理厂所在地的居民是本项目的利益相关者,应对其进行利益相关者分析。
最后测算,A方案经济净现值小于零,B方案经济净现值大于零。
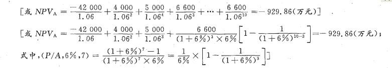
计算A、B两个方案的财务净现值,判断在财务上是否可行(财务基准收益率取6%)。
A方案的净现值
NPVA =— 42 000(P/F,6%,1) + 4 000 (P/F, 6 % , 2) + 5 000 (P/F, 6 % , 3) + 6 600 (P/A, 6 % , 7) (P/F,6%,3) =— 929.86(万元);

B方案的净现值0
NPVb =—36 000(P/F,6%,1) + 3 000 (P/F, 6 % , 2) + 5 600 (P/F, 6 % , 3) + 5 600 (P/A, 6 % , 7) (P/F,6%,3) =— 846.56(万元)
A、B方案在财务上都不可行。