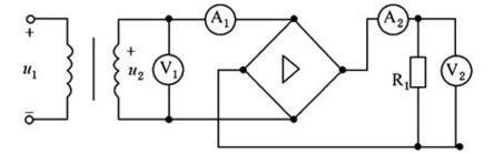
<p>电路如图所示,二极管为理想元件,已知u2=100√2sin314t(V),RL=90Ω(设电流表的内阻视为零,电压表的内阻

分类: 岩土基础知识 发布时间: 2023-11-03 00:50 浏览量: 0

电路如图所示,二极管为理想元件,已知u2=100√2sin314t(V),RL=90Ω(设电流表的内阻视为零,电压表的内阻视为无穷大)。交流电压表(V1),直流电流表(A2)和直流电压表(V2)的读数分别是(  )。 A.100V,1 A,45V B.100V,1 A,90V

A.100V,1.1

B.100V

C.141V,1

D.90V

正确答案是B