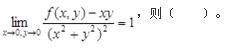
<p>已知函数f(x,y)在点(0,0)的某个邻域内连续,且 <img alt="" src="https://learnfi

分类: 岩土基础知识 发布时间: 2023-11-03 00:50 浏览量: 0

已知函数f(x,y)在点(0,0)的某个邻域内连续,且

A.点(0,0)不是f(x,y)的极值点

B.点(0,0)是f(x,y)的极大值点

C.点(0,0)是f(x,y)的极小值点

D.根据所给条件无法判断点(0,0)是否为f(x,y)的极值点

正确答案是A