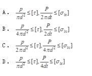
<p>如图所示为一个用四个相同铆钉连接的接头,已知拉杆与铆钉的材料相同。材料的许用剪应力为[τ],许用挤压应力为[σbs],则其

分类: 岩土基础知识 发布时间: 2023-11-03 00:50 浏览量: 0

如图所示为一个用四个相同铆钉连接的接头,已知拉杆与铆钉的材料相同。材料的许用剪应力为[τ],许用挤压应力为[σbs],则其剪切强度条件和挤压强度条件是(  )。

A.A

B.B

C.C

D.D

正确答案是C