首页
>
岩土专业基础知识
> 题目详情
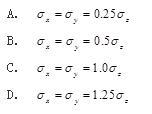
<p>已知均质各项异性岩体呈水平层状分布,其水平向与垂直向的弹模比为2:1,岩石的泊松比为0.3,岩石的容重为γ,问深度h处的自
分类: 岩土专业基础知识
发布时间: 2023-11-03 00:51
浏览量: 0
已知均质各项异性岩体呈水平层状分布,其水平向与垂直向的弹模比为2:1,岩石的泊松比为0.3,岩石的容重为γ,问深度h处的自重应力状态是
A.A
B.B
C.C
D.D
正确答案是C
← 返回分类
返回首页 →
相关题目
我国对各级城乡规划设计单位资质的要求,下列正确的是( )。
高层建筑施工测量主要任务是将建筑物基础轴线准确地向高层引测,保证各层相应的轴线位于同一竖直面内,则控制与检测轴线向上投测的竖直偏
在1:500地形图上有P、Q两点,在图上量取了P、Q两点坐标,XP=343115.00m,YP=482235.00m,XQ=34
根据我国《城乡规划法》规定,城市与镇的规划期限一般为( )。
建设单位按国家规定支付勘察设计咨询企业费用后所取得的投标方案与相关文件,在双方未约定著作权归属的情况下,其著作权应当属于( )
↑