<p>一平面简谐波波动表达式为<img alt="" src="https://learnfile.20230611.cn/le

分类: (结构) 基础考试一级 发布时间: 2023-11-03 00:54 浏览量: 0

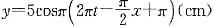
一平面简谐波波动表达式为,式中x,t分别以cm,s为单位,则x=4cm位置处的质元在t=1s时刻的振动速度v为()

A.v=0

B.v=5cm·s-1

C.v=-5πcm·s-1

D.v=-10πcm·s-1

正确答案是A