<p>钢筋混凝土框架结构多层办公楼局部平面布置如下图所示(均为办公室),梁、板、柱混凝土强度等级均为C30,梁、柱纵向钢筋HRB

分类: (结构) 专业考试一级 发布时间: 2023-11-03 00:56 浏览量: 0

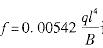
钢筋混凝土框架结构多层办公楼局部平面布置如下图所示(均为办公室),梁、板、柱混凝土强度等级均为C30,梁、柱纵向钢筋HRB400钢筋,楼板纵向钢筋及梁、柱箍筋为HRB335钢筋。 假设,框架梁KL2的左、右端截面考虑荷载长期作用影响的刚度B A、BB分别为9.0x1013N.mm2、6.0x1013N.mm2;跨中最大弯矩处纵向受拉钢筋应变不均匀系数梁底配置纵向钢筋。作用在梁上的均布静荷载、均布活荷载标准值分别为30kN/m、15kN/m。试问,按规范提供的简化方法,该梁考虑荷载长期作用影响的挠度与下列何项数值最为接近?提示:①按矩形截面梁计算,不考虑受压钢筋的作用,;②梁挠度近似按公式计算;③不考虑梁起拱的影响。

A.17

B.21

C.25

D.30

正确答案是A