某多层现浇钢筋混凝土结构,设两层地下车库,局部地下一层外墙内移,如图3-5所示。已知:室内环境类别为一类,室外环境类别为二b类,混凝土强度等级均为C30。
假定,地下一层外墙Q1简化为上端铰接、下端刚接的受弯构件进行计算,如图3-6所示。取每延米宽为计算单元,由土压力产生的均布荷载标准值glk=10kN/m,由土压力产生的三角形荷载标准值g2k=33kN/m,由地面活荷载产生的均布荷载标准值qk=4kN/m。试问,该墙体下端截面支座弯矩设计值MB(kN*m)与下列何项数值最为接近?
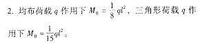
提示:1.活荷载组合值系数0.7;不考虑地下水压力的作用;

A.46
B.53
C.63
D.66
正确答案是D