某12层钢筋混凝土框架-剪力墙结构,每层层高均为4m,房屋高度为48.3m,质量和刚度沿高度分布比较均匀,丙类建筑,抗震设防烈度为7度。
第八层楼面的某框架梁,其截面尺寸为
,混凝土强度等级为C30
,纵向钢筋采用HRB335
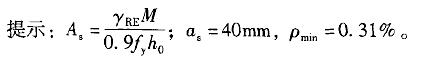
。梁端弯矩标准值如下:重力荷载代表值作用下MGEK=-70kN.m;水平地震作用下MEhK=±95kN.m,风荷载作用下MWX=±60kN.m。试问,有地震作用效应组合时,该梁端截面较大纵向受拉钢筋面积次As(mm2),选用下列何项数值最为合适?

A.1480
B.1380
C.1030
D.960
正确答案是C