首页
>
(结构) 专业基础考试一级
> 题目详情
<img alt="" src="https://learnfile.20230611.cn/learnAppQuestion/
分类: (结构) 专业基础考试一级
发布时间: 2023-11-03 00:59
浏览量: 0
A.A
B.B
C.C
D.D
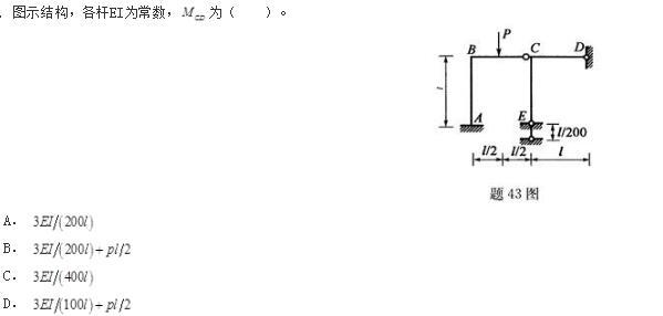
正确答案是C
← 返回分类
返回首页 →
相关题目
花岗岩与石灰岩在强度和吸水性方面的差异,描述正确的是( )。
将工程结构物的设计位置在实地标定出来,以作为施工的依据,该项工作简称为( )。
水准仪应满足的几何条件不包括( )。
测回法适用于( )。
精密量距的基本操作程序是( )。
↑