首页
>
注册环保工程师 - 专业基础
> 题目详情
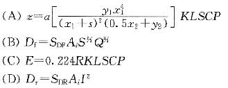
<p>水土流失的预报模型中哪个模型是经验模型() <img alt="" src="https://learnfile.2
分类: 注册环保工程师 - 专业基础
发布时间: 2023-11-03 01:09
浏览量: 1
水土流失的预报模型中哪个模型是经验模型()
A.A
B.B
C.C
D.D
正确答案是C
← 返回分类
返回首页 →
相关题目
<img alt="" src="https://learnfile.20230611.cn/learnAppQuestion/
《公民道德建设实施纲要》明确指出,要大力提倡以()为主要内容的职业道德()
测定大气中二氧化硫时,国家规定的标准分析方法为()
对于固体废物的界定,下列说法错误的是()
对于建筑施工噪声一般以()作为噪声源评价量。
↑