<p>某地区为大面积综合开发建设,利用现有二等大地控制网成果,布设了覆盖整个区域的GPSD级网,该地区地处东经117°08′32

分类: 测绘案例分析 发布时间: 2023-11-03 01:13 浏览量: 0

某地区为大面积综合开发建设,利用现有二等大地控制网成果,布设了覆盖整个区域的GPSD级网,该地区地处东经117°08′32″~117°39′47″,北纬28°49′58″~28°54′47″。测区面积范围达500km2。总的地势东高西低,平均海拔约30m,沿线为丘陵地带,水系发达,植被茂盛,通视条件差,野外作业困难。   (1)执行规范:《全球定位系统(GPS)测量规范》(GB/T18314—2009)等。   (2)人员、设备配置:本次作业由专业测量人员约15名人员参加,GPS控制投入了8台检测合格的广州中海达HD8200E及3台V8型双频GPS接收机进行GPS采集。   (3)外业观测与数据处理:图1-2为其中局部GPS控制网网图,采用3台标称精度为5mm+5×10-6D的接收机观测三个时段,观测计划和基线解算结果见表1-4。 问题:   1.该GPS网总基线数、必要基线数、独立基线数、多余基线数?   2.重复边D016~D003是否合格?   3.第二时段的同步环是否合格?   4.本案例中以“*”表示的四条边组成的闭合环是同步环还是异步环?

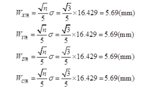
1.该GPS网总基线数、必要基线数、独立基线数、多余基线数分别计算如下:   (1)总基线数:J总=C×N×(N-1)/2=3×3×2/2=9;   (2)必要基线数:J必=n-1=4-1=3;   (3)独立基线数:J独=C×(N-1)=3×(3-1)=6;   (4)多余基线数:J多=C×(N-1)-(n-1)=3。 2.(1)计算基线长度。 (2)计算同步边差值。 Δd=|d2-d1|=4632.8614-4632.8534=0.0080(m)=8(mm)   (3)计算测边中误差。   ①基线平均边长: d=(d1+d2)/2=(4632.8534+4632.8614)/2=4632.8574(m)   ②计算测边中误差: ③判定是否合格,计算限差: 因为Δd<Δdmax所以重复边D016~D003是合格的。 3.(1)同步环坐标分量的闭合差和环闭合差,即 式中:Wx、Wy、Wz为第i条基线向量的坐标差分量。   (2)计算测边中误差:   ①计算基线边长。  ②计算闭合环平均边长。  ③计算侧边中误差。  ④计算闭合差限差。  ⑤判定是否合格:WX≤WX限,WY≤WY限,WZ≤WZ限,Wc≤Wc限,但实际上,WX<WX限,WY>WY限,WZ>WZ限,WC>Wc限,所以该同步环不合格。 4.同步环是指在用GPS进行测量过程中,由3台或3台以上接收机,同时对同一组卫星进行观测(同步观测)所获得的基线向量所构成的闭合多边形。异步环是在用全球定位系统(GPS)进行测量中,由数条GPS独立边构成的闭合多边形。在GPS网中,必须保证有足够数量的异步环,才能确保观测成果的可靠性。表中以“*”表示的四条边组成的闭合环是异步环。