<p>某测绘单位承担了某测区基础控制测量工作,测区面积约1800km2,地势平坦,无CORS网络覆盖。工作内容包括10个GPSC

分类: 测绘案例分析 发布时间: 2023-11-03 01:13 浏览量: 0

某测绘单位承担了某测区基础控制测量工作,测区面积约1800km2,地势平坦,无CORS网络覆盖。工作内容包括10个GPSC级点GPS联测、三等水准连测及建立测区高程异常拟合模型,测量基准采用2000国家大地坐标系(CGCS2000)及1985国家高程基准。   测区已有资料情况:测区周边均匀分布有3个国家GPSB级框架点,一条二等水准路线经过测区。   观测设备采用经检验合格的双频GPS接收机(5ram+1ppm)3台套,DS1水准仪1套。   技术要求:GPSC级网按同步环边连接式布网观测;按照三等水准连测GPSC级点高程;采用函数   f(x,y)=a0+a1x+a2y+a3x2+a4y2+a5xy计算测区高程异常拟合模型。   经GPS观测、水准连测及数据平差处理,获得了GPSC级点的CGCS2000坐标及1985高程成果。某GPS三边同步环各坐标分量情况统计见表1-1。 表1-1 GPS三边同步环各坐标分量情况统计表 拟合方法:利用GPSC级成果计算测区高程异常拟合模型。经检验精度为±0.05m。[2014年真题]   问题:   1.本工程共能建立几个同步图形?计算本工程的独立基线数有几条?   2.根据本项目给出的某同步环给出的数据(见表1-1)计算各坐标分量残差与同步环闭合差。   3.简述测区高程异常拟合模型的建立过程,如何检验本项目高程异常拟合模型的精度?

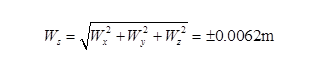
1.由题意,GPS控制点数n=10+3,接收机数k=3,3台接收机只能构成一个简单的三角形同步图形,边连接是指相邻的同步图形间有一条边(即两个公共点)相连,3台GPS接收机为了完成C级测量,至少要构成v=8个同步图形,两个同步图形有u=2个公共点,全网观测时段数C=11;基线向量总数J总=C×k×(k-1)/2=33条;独立基线向量数J独=C×(k-1)=11×2=22条。 2.各坐标分量残差:   Wx=14876.383+(-7285.821)+(-7590.560)=-0.002m   Wy=2631.812+14546.403+(-17178.218)=-0.003m   WZ=8104.319+(-15378.581)+7274.257=-0.005m   同步环闭合差: 3.(1)测区高程异常拟合模型的建立过程:   ①选点   选取n个(n一般要求大于待估参数个数,本题待估参数为6)在测区内分布合适的公共点(同时具有三等水准高程和GPS大地高程点)。设各点数据为(xi,yi,Hi,hi,其中i=1,2,…,n),H为大地高,h为水准高程。   ②坐标重心化: 公共点坐标重心化:,。其中i=1,2,…,n。   坐标重心化的目的是提高计算精度(注:坐标重心化不是必须要做的)。   ③计算高程异常:   计算公共点高程异常:ξi=Hi-hi。其中i=1,2,…,n。   ④建立误差方程:   按公式 νi=a0+a1Δxi+a2Δyi+a3Δxi2+a4Δyi2+a5ΔxiΔyi-ξi   建立误差方程,v为改正数。应用最小二乘原理计算得到待估参数aj的估值aj(其中j=1,2,…,6)。  ⑤建立拟合模型:   测区待定点k的高程异常按以下模型计算: (2)检验本项目高程异常拟合模型的精度:   ①按上述似大地水准面模型计算的各检验点高程异常ξ计与其实测高程异常ξ测计算高程异常不符值Δ(Δ=ξ计-ξ测);   ②计算高程异常不符值的中误差,作为似大地水准面精度检验。   (3)求取参与拟合的联测点拟合后的中误差,可得内符合精度,将检核点代入模型计算,求取得到的中误差即为外符合精度。