某市现有的大地控制网是采用传统的天文测量与三角测量、导线测量等方法建立的,至今已有近半个世纪,受地壳运动和社会建设发展等因素的影

分类: 测绘案例分析 发布时间: 2023-11-03 01:13 浏览量: 0

某市现有的大地控制网是采用传统的天文测量与三角测量、导线测量等方法建立的,至今已有近半个世纪,受地壳运动和社会建设发展等因素的影响,目前的大地控制网难以满足经济建设日益发展的需要。   为了满足区域规划、工程建设、土地管理、气象预报、灾难监测和预报等经济建设的需要,计划在该区域用全球定位系统(GPS)技术建立一、二、三等大地控制网。作业依据主要有:   (1)《全球导航卫星系统连续运行参考站网建设规范》(CH/T2008—2005);   (2)《全球定位系统(GPS)测量规范》(GB/T18314—2009);   (3)《国家一、二等水准测量规范》(GB/T12897—2006);   (4)《国家重力控制测量规范》(GB/T20256—2019);   (5)《国家大地测量基本技术规定》(GB22021—2008);   (6)《区域似大地水面精化基本技术规定》(GB/T23709—2009)。   现有资料等情况:   (1)国内WUHN、SHAO、IHAS、URUM、BJFS及KUNM等200多个国家GNSS连续运行基准站,周边地区有多个IGS连续运行基准站,这些基准站均有2000国家大地坐标系成果。区域范围内有多个国家一、二等三角网点,具有1980西安坐标系和1954北京坐标系成果。   (2)人员:单位具有测绘高级工程师、测绘工程师及测绘技术员等多名,且具有丰富的控制网布测经验。   (3)设备:GNSS连续运行基准站仪器多套,静态GNSS接收机与扼径圈天线多套。   问题:   1.请简述进行一、二、三等大地控制网布设的基本流程。   2.请简述国家二等大地控制网的布设目的和技术要求及B、C级GPS网观测的基本技术规定。   3.GPSC级网中有一条重复基线向量,其观测值分别为8570.274m、8570.280m、8570.282m、8570.284m和8570.278m。若接收机的标称精度为5mm±1×10-6。通过计算说明该基线向量的观测值是否合格?

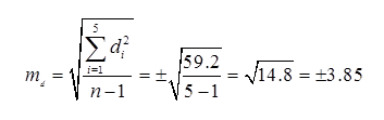
1.按照国家标准《全球定位系统(GPS)测量规范》(GB/T 18314—2009)第5.1条规定,GPS测量按其精度分为A、B、C、D、E五级。第5.3条规定,A级GPS网由卫星定位连续运行基准站构成,用于建立国家一等大地控制网,进行全球性的地球动力学研究、地壳形变测量和卫星精密定轨测量;B级GPS测量主要用于建立国家二等大地控制网,建立地方或城市坐标基准框架、区域性的地球动力学研究、地壳形变测量和各种精密工程测量等;C级GPS测量用于建立三等大地控制网,以及区域、城市及工程测量的基本控制网等;D级GPS测量用于建立四等大地控制网;E级GPS测量用于测图、施工等控制测量。根据精度等级要求,布设大地控制网包括技术设计、实地选点、建造觇标、标石埋设、外业观测和数据处理等工作。   (1)技术设计:收集资料→实地踏勘→图上设计→编写技术设计书。   (2)实地选点:选点结束后应提交选点图、点之记、选点工作技术总结。   (3)建造觇标或观测墩。   (4)标石埋设:埋石工作结束后,要到所在地的乡(镇)人民政府办理控制点托管手续。   (5)外业观测:包括仪器的选取和检验、制订观测计划、观测作业、数据检验等工作。外业观测结束后应上交专业技术设计、原始观测手簿、观测数据、观测网图、数据检核结果及观测技术总结。   (6)数据处理:包括外业数据质量检核、平差方案的制订、起算数据的分析与确定、平差处理、精度评定、数据处理成果整理和技术总结编写。   (7)成果验收与上交资料。   (8)质量控制:执行“两级检查,一级验收”制度。 2.(1)国家二等大地控制网布测目的是实现对国家一、二等水准网的大尺度稳定性监测;结合精密水准测量、重力测量等技术,精化我国似大地水准面;为三、四等大地控制网和地方大地控制网的建立提供起始数据。   国家二等大地控制网相邻点间基线水平分量的中误差不应超过±5mm,垂直分量的中误差不应超过±10mm;各控制点的相对精度应不低于1×10-7,其点间平均距离不应超过50km。国家二等大地控制网点应在均匀布设的基础上,综合考虑应用服务和对国家一、二等水准网的大尺度稳定性监测等因素。国家二等大地控制网复测周期为5年,每次复测执行时间应不超过2年。   (2)GPS B级网观测要求:卫星截止高度角为10°,同时观测有效卫星数≥4颗;有效观测卫星总数≥20颗,观测时段数≥3,时段长度≥23h,采样间隔为30s。   GPS C级网观测要求:卫星截止高度角为15°,同时观测有效卫星数≥4颗,有效观测卫星总数≥6颗,观测时段数≥2,时段长度≥4h,采样间隔为10~30s。 3. 同一基线边,若观测了多个时段(≥2),则可得到多个基线边长。这种具有多个独立观测结果的基线边,称为重复边。复测基线的长度差属于GPS测量数据处理外业数据质量检核内容,C、D级网基线处理和B级网外业预处理后,若某基线向量被多次重复,则任意两个基线长度之差ds应满足下式: 式中,σ为相应级别规定的基线中误差,计算时边长按实际平均边长计算。则计算重复基线的长度差的步骤如下:   (1)计算平差值: (2)计算改正数。   Δd1=d1-d=8570.274-8570.2796=-5.6(mm)   Δd2=d2-d=8570.280-8570.2796=+0.4(mm)   Δd3=d3-d=8570.282-8570.2796=+2.4(mm)   Δd4=d4-d=8570.284-8570.2796=+4.4(mm)   Δd5=d5-d=8570.278-8570.2796=-1.6(mm)   (3)计算平差值之中误差 (4)计算相对误差 md/d=3.85/8570279.6=0.45×10-6   结果判别:因为0.45×10-6≤b=1×10-6,所以该重复基线合格。