某测绘单位承担了某测区基础控制测量工作,测区面积约1800km2,地势平坦,无CORS网络覆盖。工作内容包括10个GPSC级点GPS联测、三等水准连测及建立测区高程异常拟合模型,测量基准采用2000国家大地坐标系(CGCS2000)及1985国家高程基准。
测区已有资料情况:测区周边均匀分布有3个国家GPSB级框架点,一条二等水准路线经过测区。
观测设备采用经检验合格的双频GPS接收机(5mm+1ppm)3台套,DS1水准仪1套。
技术要求:GPSC级网按同步环边连接式布网观测;按照三等水准连测GPSC级点高程;
采用函数f(χ,y)=a0+a1x+a2y+a3χ2+a4y2+a5χy计算测区高程异常拟合模型。
经GPS观测、水准连测及数据平差处理,获得了GPSC级点的CGCS2000坐标及1985高程成果。某GPS三边同步环各坐标分量情况统计见表。

拟合方法:利用GPSC级成果计算测区高程异常拟合模型。经检验精度为±0.05m。
问题:
1.本工程共能建立几个同步环?计算本工程的独立基线数有几条?
2.根据本项目给出的某同步环给出的数据(见表)计算各坐标分量残差与同步环闭合差。
3.简述测区高程异常拟合模型的建立过程,如何检验本项目高程异常拟合模型的精度?
1.本工程共需建立几个同步环?计算本工程的独立基线数有几条?
答:由题意,GPS控制点数n=10+3,接收机数k=3。 3台接收机只能构成一个简单的三角形同步图形,边连接是指相邻的同步图形间有一条边(即两个公共点)相连,3台GPS接收机为了完成C级测量,至少要构成v=8个同步图形,两个同步图形有u=2个公共点,全网观测时段数C=11;基线向量总数J总=C*k*(k-1)/2=33条;独立基线向量数J独=C*(k-1)=1 1*2=22条。

2.根据本项目给出的某同步环给出的数据(见表)计算各坐标分量残差与
同步环闭合差。
答:各坐标分量残差:
Wχ=14876. 383+(-7285. 821)+(-7590. 560)=-0.002m
Wy=2631.812+14546. 403+(-17178. 218)=-0.003m
Wz=8104. 319+( -153 78. 581) +7 274. 25 7=-0.005m
同步环闭合差:

3.简述测区高程异常拟合模型的建立过程,如何检验本项目高程异常拟合
模型的精度?
答:(1)测区高程异常拟合模型的建立过程:
①选点:
选取n个(n一般要求大于待估参数个数,本题待估参数为6)在测区内分布
合适的公共点(同时具有三等水准高程和GPS大地高的点)。设各点数据为(χi,yi,Hi,hi,其
中i=1,2,…,n),H为大地高,h为水准高程。
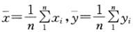
②坐标重心化:
计算重心坐标:
,其中i=1,2,…,n
公共点坐标重心化:
,其中i=1,2,…,n
坐标重心化的目的是提高计算精度(注:坐标重心化不是必须要做的)。
③计算高程异常:
计算公共点高程异常:ξi=Hi-hi,其中i=1,2,…,n
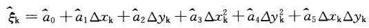
④建立误差方程:
按公式
建立误差方程,v为改
正数。
应用最小二乘原理计算得到待估参数aj的估值
(其中j=1,2,…,6)。
⑤建立拟合模型:
测区待定点k的高程异常按以下模型计算:

拟合的水准高程为:
(2)检验本项目高程异常拟合模型的精度:
①按上述似大地水准面模型计算的各检验点高程异常ξ计与其实测高程异常ξ测计算高
程异常不符值△(△=ξ计-ξ测);
②计算高程异常不符值的中误差,作为似大地水准面精度检验。
(3)求取参与拟合的联测点拟合后的中误差,可得内符合精度,将检核点代入模型计算,求
取得到的中误差即为外符合精度。