1.任务概况 某地区随着GPS控制网的建立,其测绘成果与原有的1980西安坐标系测绘成果不统一。为了统一测绘成果,更好地为社会

分类: 测绘案例分析 发布时间: 2023-11-03 01:14 浏览量: 0

1.任务概况 某地区随着GPS控制网的建立,其测绘成果与原有的1980西安坐标系测绘成果不统一。为了统一测绘成果,更好地为社会服务,计划将CPS网的坐标成果转换为1980西安坐标系成果。该地区共有××个GPS网点。 2.目标 将GPS控制网成果转换为1980西安坐标系成果。 3.测区已有资料情况 该地区有×个国家三角点成果,在布测高精度GPS网时,对其进行了联测。 1小题> 我同常片j的坐标系有哪些?各属于什么坐标系? 2小题> 坐标系转换可分为哪两类? 3小题> 什么是重合点,重合点的选取的原则是什么? 4小题> 根据案例确定转换模型,并对坐标转换汁算步骤进行简述。

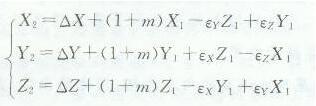
1小题> 常用的坐标系有:1954北京坐标系、1980西安坐标系、高斯一克吕格平面直角坐标系、WGS- 84坐 标系和2000国家大地坐标系。 1954北京坐标系、1980西安坐标系、新1954北京坐标系以及高斯一克吕格平面直角坐标系均是参 心坐标系。 WGS- 84坐标系和2000国家大地坐标系均属于地心坐标系。 2小题> 坐标系的转换可分为两类:一是不同坐标系统之间的坐标转换;二是同一坐标系统不同坐标形式的转换。 主要考查的是坐标系转换分类。坐标系的转换可分为两类:一是不同坐标系统之间的坐标转换,如WGS- 84坐标系和1980西安坐标系之间的转换;二是同一坐标系统不同坐标形式的转换,如空间直角坐标。 3小题> 重合点是指同时拥有不同坐标系坐标的大地点。重合点选取原则是:等级高、精度高、分布均匀,局部变形小;采用二维转换模式至少选取2个以上的重合点,采用三维转换模式至少选取3个以上的重合点,重合点的分布要覆盖整个转换区域,且尽量分布均匀。 主要考查的是重合点及其选取原则。重合点是指同时拥有不同坐标系坐标的大地点。重合点选取原则是:依据外业技术总结、点之记与坐标差比较等方法选取足够的等级高、精度高、分布均匀的点作为坐标转换的重合点;采用二维转换模式至少选取2个以上的重合点,采用三维转换模式至少选取3个以上的重合点,重合点的分布要覆盖整个转换区域。 4小题> WGS- 84坐标系和1980西安坐标系之间的转换,一般采用Bursa7参数转换模型。 坐标转换实施步骤如下: (1)收集、整理转换区域内重合点成果(三维坐标); (2)分析并选取用于计算坐标转换参数的重合点; (3)确定坐标转换参数计算方法与坐标转换模型; (4)将重合点的两坐标系坐标换算成各坐标系下的空间直角坐标; (5)根据确定的转换方法与转换模型利用最小二乘法初步计算坐标转换模型的参数; (6)分析重合点坐标转换残差,根据转换残差剔除粗差点; (7)用合格的重合点计算最终的坐标转换参数并估计坐标转换参数精度; (8)根据计算的转换参数,将转换点的原坐标系坐标换算为新的空间直角坐标。 主要考查的是坐标转换模型及坐 标转换计算步骤。WGS - 84坐标系和1980西安坐 标系之间的转换,一般采用Bursa7参数转换模型: 式中3个平移参数△X、△Y、△εεZ(单位:米),3个旋转参数εx、εy、εz(单位:弧度)和1个尺度参数m(无单位)。坐标转换实施步骤如下:收集、整理转换区域内重合点成果(三维坐标);分析并选取用于计算坐标转换参数的重合点;确定坐标转换参数计算方法与坐标转换模型;将重合点的两坐标系坐标换算成各坐标系下的空间直角坐标;根据确定的转换方法与转换模型利用最小二乘法初步计算坐标转换模型的参数;分析重合点坐标转换残差,根据转换残差剔除粗差点;用合格的重合点计算最终的坐标转换参数并估计坐标转换参数精度;根据计算的转换参数,将转换点的原坐标系坐标换算为新的空间直角坐标。