<p>在卡诺循环过程中,理想气体在一个绝热过程中所作的功为W1,内能变化为△E1,而在另一绝热过程中气体做功W2,内能变化△E2

分类: 基础知识(暖通空调+动力) 发布时间: 2023-11-03 01:18 浏览量: 0

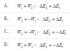
在卡诺循环过程中,理想气体在一个绝热过程中所作的功为W1,内能变化为△E1,而在另一绝热过程中气体做功W2,内能变化△E2,则W1、W2及△E1、△E2间关系为(  )。

A.A

B.B

C.C

D.D

正确答案是C