首页
>
基础知识(暖通空调+动力)
> 题目详情
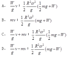
<p>图示均质圆轮,质量m,半径R,由挂在绳上的重为W的物块使其绕质心轴O转动。设重物的速度为v,不计绳重,则系统动量、动能的大
分类: 基础知识(暖通空调+动力)
发布时间: 2023-11-03 01:18
浏览量: 3
图示均质圆轮,质量m,半径R,由挂在绳上的重为W的物块使其绕质心轴O转动。设重物的速度为v,不计绳重,则系统动量、动能的大小是( )。
A.A
B.B
C.C
D.D
正确答案是A
← 返回分类
返回首页 →
相关题目
<img alt="" src="https://learnfile.20230611.cn/learnAppQuestion/
<img alt="" src="https://learnfile.20230611.cn/learnAppQuestion/
<img alt="" src="https://learnfile.20230611.cn/learnAppQuestion/
<p>设α、β均为非零向量,则下面结论正确的是( )。 <img alt="" src="https://learnfi
<p>微分方程y-y=0满足y(0)=2的特解是( )。 <img alt="" src="https://learnf
↑